Passing Grade Sma Bogor 2018 - Produksi Mobil 134 Juta Setara USD1376 Tahun 2018. Sma negeri 16.
Passing Grade Farhansyaddad Weblog
Sedangkan passing grade terendah sementara berada di SMA Negeri 19 Kota Bekasi yakni sebesar 24050 poin.

Passing grade sma bogor 2018. Gambaran Passing Grade SMK Negeri Kota Bogor tahun. Gambaran Passing Grade SMA Negeri Kota Bogor tahun. Prediksi Passing Grade Nilai UN Memasuki Jenjang SMA Tahun 20182019 No Sekolah Program Nilai Ujian Nasional Tertinggi Terendah Dalam Luar Dalam Luar 1 SMA Negeri 1 963 938 756 800 2 SMA Negeri 3 997 928 800 850 3 SMA Negeri 6 973 946 781 810 4 SMA Negeri 8 1000 1000 843 862 5 SMA Negeri 13 1000 985 828 833.
Bahkan sekolah yang berdiri tahun 1948 ini ditetapkan menjadi sekolah bertaraf internasional oleh Kemdikbud. SMA Negeri 16 MIPA. Sekolah ini merupakan sekolah favorit dengan passing grade tertinggi di Bogor.
Jumlah ini diprediksi bakal bertambah mengingat pendaftaran PPDB SMASMK baru akan ditutup hari ini Sabtu 226. BOGOR RADAR BOGORPendaftaran Penerimaan Peserta Didik Baru PPDB SMP dan SMASMK 2019 memasuki babak akhir. Edcentid - 5 Jurusan Saintek dengan Passing Grade Tertinggi di IPB - IPB Institut Pertanian Bogor merupakan salah satu universitas negeri di Indonesia yang diresmikan pada tahun 1963.
Dinas Pendidikan Kota Bogor mencatat ada 6405 siswa gagal masuk ke sekolah menengah pertama negeri SMPN. Calon siswa akan memperebutkan 3955 kursi di 22 SMA Negeri yang tersebar di Kota Bekasi. SMA Negeri 18 MIPA.
Untuk sementara saya upload screenshotnya dulu karena belum bisa mengakses PC. IHSG Anjlok Hingga 1 Persen Lebih. Pemilik Bom yang Meledak di Pasuruan Masih Buron Sang Istri Jadi Kunci Penangkapan httpstcoBZ3C0aj2zT via tribunjabar.
Berikut adalah passing grade PPDB SMA Jawa Barat 2018 di Kota Bandung. Sebelum berdiri sendiri kampus ini merupakan sebuah fakultas di Universitas Indonesia yakninya Fakultas Pertanian. Passing Grade SMP Negeri di Jakarta.
Juga berkali-kali meraih nilai UAN tertinggi sekota Bogor. SMA Negeri 15 MIPA. Berikut kami sampaikan passing grade pendaftaran ke SMP Negeri di Kota Bogor dan di Cibinong Kabupaten Bogor pada tahun 2011 dan 2012.
Passing Grade SMP Kota Bogor 2018 Mei 28 2021 November 8 2018 oleh Yuri Adrian Buat para orang tua di Bojonggede yang anak-anaknya sekarang di kelas 6 SD pasti sudah mulai ancer-ancer tahun depan buat masukin putra putrinya ke SMP ya. Passing grade bagi peserta SKD dari kelompok pelamar jalur umum sama seperti tahun lalu yakni 143 untuk TKP 80 untuk TIU dan 75 untuk TWK ujar Deputi. Okeeh kali ini ane share Passsing Grade hasil seleksi PPDB SMP SMASMU dan SMK Negeri Kota Bogor tahun 2016 dengan harapan semoga bisa memberikan gambaran lebih detail sehingga berhasil masuk pada Sekolah Negeri yang tepat pada PPDB tahun 20172018.
Nilai asli NUN Nilai Ujian Nasional sebanyak 38550 ditambah dari skor jarak antara rumah ke sekolah sebesar 500. Gambaran Passing Grade PPDB SMP Negeri Kota Bogor. Tribun Jabar tribunjabar July 10 2018.
Dari pagi saya sudah ke SMAN 23 Bandung SMAN 16 Bandung SMAN 7 Bandung SMAN 20 Bandung dan akhirnya balik lagi ke SMAN 16 Bandung ujar Dodi yang tinggal di Antapani Wetan. SMA Negeri 17 MIPA. Semoga dapat memberikan gambaran bagi siswa-siswi yang akan melanjutkan pada tahun 2013 ini dalam memilih sekolah tujuannya dengan menyesuaikan kepada perolehan Nilai UN.
SMA Sederajat di DKI Jakarta. Daftar Lengkap Passing Grade Sekolah SMA Lokal dan Non Lokal Di Jakarta SEKOLAH TAHAP 1 TAHAP 2 TAHAP 3 NON DKI MIN MAK MIN MAK MIN MAK MIN MAK SMA NEGERI 1 MIPA 8713 9175 7900 8838 8363 8875 IPS 8000 8638 7113 7913 7738 8350 SMA. Untuk dapat mengikuti seleksi lanjutan peserta SKD harus melampaui nilai ambang batas passing grade seperti diatur dalam Peraturan Menteri PANRB No.
372018 tentang Nilai Ambang Batas SKD Pengadaan CPNS 2018. SMAN 3 Bogor juga menjadi incaran ratusan lulusan SMP di Bogor. DKI Bantu Biaya Pangkal Masuk Sekolah.
Sekolah PG Dalam Provinsi PG Luar Provinsi SMAN 1 34930 26635 SMAN 2 35870 24640 SMAN 3 36935 35315 SMAN 4 34955 25410 SMAN 5 36175 31500 SMAN 6 32945 20580 SMAN 7.
Priority Stan Untuk Standar Passing Grade Spmb Pkn Stan Facebook
Prediksi Passing Grade 2018 Sman Kabupaten Sumedang Duddyarisandi S Blog
Info Sekolah April 2019
Hasil Ppdb Online Sma Kota Bogor Jalur Akademik 2018 2019 Lovely Bogor
Passing Grade Farhansyaddad Weblog
Passing Grade Farhansyaddad Weblog
Passing Grade Farhansyaddad Weblog
Ppdb 2018 Jejak Seribu Pena
Hasil Ppdb Online Smk Kota Bogor Jalur Akademik 2018 2019 Lovely Bogor
Zonasi Sma Kota Bogor 2019 Nusagates
Hasil Ppdb Online Sma Kota Bogor Jalur Akademik 2017 2018 Lovely Bogor
Passing Grade Hasil Ppdb Sma Dki Jakarta Tahun 2019 K Blog
Passing Grade Nem Hasil Ppdb Smp Sma Dan Smk Kota Bogor Th 2016 K Blog
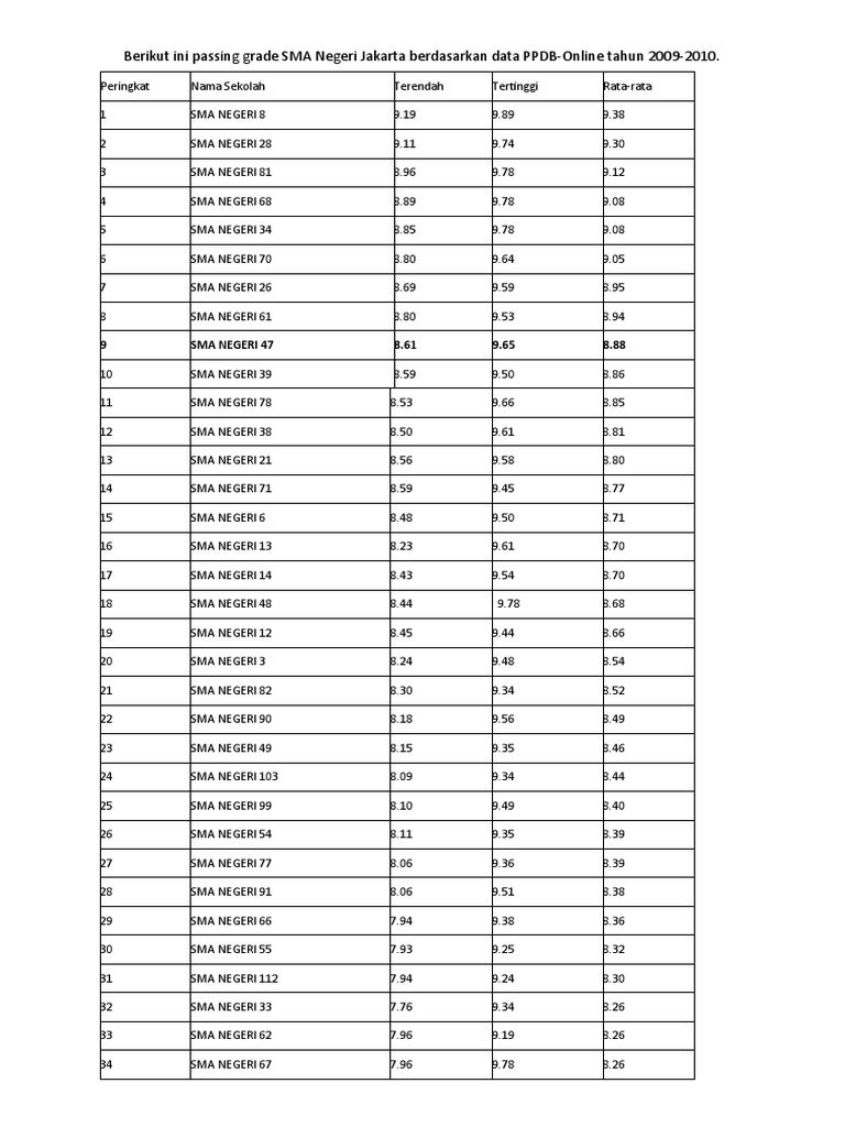
Berikut Ini Passing Grade Sma Negeri Jakarta Berdasarkan Data Ppdb








